john@representmyinjury.com | January 20, 2026 | California Law
What Is a CCP 998 Offer in California Personal Injury Cases? Your Guide to the Statutory Offer to Compromise
In California personal injury fights, you do more than just prove who is at fault and count up losses. You also use tools that help make deals happen faster. One key tool is the CCP 998 offer in California personal injury cases. Lawyers often call it the Statutory Offer to Compromise. This tool helps make fair deals by adding money punishments for turning down good offers. If you deal with a claim from a job hurt, dog bite, or car crash, knowing what a CCP 998 offer is helps you avoid mistakes and make your side stronger.
What a CCP 998 Offer Is: The Main Facts for People in California Cases
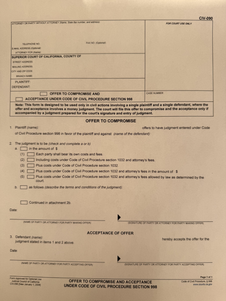
Start with the basics of what a CCP 998 offer means. Under California Code of Civil Procedure Section 998, anyone in a civil lawsuit—the person suing or the one being sued—can send a formal written deal to end the case. Mark it clearly as a “CCP 998 Offer” or “Statutory Offer to Compromise.” The paper lists the deal details, like how much money and any rules. It has a place for the other side to sign if they agree. You can use a special form from the Judicial Council called CIV-090 for this offer. This form helps make the offer official and the court can enforce it.

Send this offer at least 10 days before trial or arbitration starts. The other side has 30 days, or until the start of the hearing—whichever comes first—to answer. If they say yes, you usually finish with a deal paper and release, which ends the fight and gets the case dropped. While the law lets you file the yes for a court order, many cases end quietly with these papers to keep it quick.
If they do not say yes or say no, the offer ends. You go to trial or arbitration, and keep the offer secret from the judge or jury.
People who make laws in California built CCP 998 to speed up case endings and cut down on court work. In hurt claims, where bills like doctor costs, lost pay, and stress add up, this tool makes talks into big choices. Use it to show your case is strong while pushing the other side to think about risks.
How CCP 998 Offers Work in Personal Injury Lawsuits: The Steps Explained
You encounter CCP 998 during pre-trial phases. Imagine sustaining injuries in a bicycle accident. You file a lawsuit against the negligent driver. Your attorney estimates total damages at $120,000, including $40,000 for medical treatment and $80,000 for ongoing pain. Serve a CCP 998 offer for $95,000. The opposing party reviews evidence such as medical records and expert analyses.
If they take it, end at $95,000 with a deal paper and release, skipping trial costs. If they say no and you get a better win—like $110,000—they face bad results. On the other hand, if the driver offers $50,000 and you say no but only get $30,000, you pay their later costs.

In personal injury matters, CCP 998 links to Civil Code Section 3291. This provides 10% annual prejudgment interest on judgments when the defendant rejects your offer and you achieve a better outcome at trial. Interest accrues from the offer date to payment. Serving one early can maximize prejudgment interest because it allows more time for the interest to accumulate. Calculate this to increase your total recovery.
Using CCP 998 Offers to Make Better Deals in California Personal Injury
Employ a CCP 998 offer as a strategic tool to expedite settlements. Insurance companies supporting defendants dislike additional expenses like expert fees or accrued interest. Present a reasonable offer grounded in evidence, forcing them to assess probabilities. If they view your arguments as solid, they opt for settlement to avoid extras.
For plaintiffs, time it after discovery reveals case merits. Collect medical summaries, expert opinions, and damage documentation first. A well-timed CCP 998 offer conveys your realistic valuation, urging defendants toward agreement.
Defendants use it similarly. They propose amounts addressing verified losses while reducing subjective elements. If you decline and underperform at trial, you forfeit cost recovery. Experienced attorneys advise: “Accept if it meets your needs, or risk financial setbacks.”
During negotiations, reference CCP 998 tactfully. Mention, “A Statutory Offer to Compromise is forthcoming—settle now to evade additions.” This leverages loss aversion, which motivates more than potential gains.
What Happens If You Turn Down a CCP 998 Offer in California Personal Injury: Risks and Punishments
Reject a CCP 998 offer cautiously. The statute shifts costs to penalize poor judgments.
As the plaintiff, if you reject the defendant’s offer and obtain less at trial, you forfeit post-offer cost recovery. You also pay the defendant’s post-offer costs, including expert witness fees. Courts deduct these from your award. If costs exceed your verdict, you owe money. Example: Secure $30,000 but pay $35,000 of theirs—you remit $5,000.
When defendants ignore your offer and you prevail with more, they pay your post-offer costs and expert fees. Plus, you receive 10% prejudgment interest on compensatory amounts from offer to satisfaction. This escalates in prolonged cases.
Courts require good faith. Craft offers reasonably, based on available information. Unrealistic ones—like nominal sums from defendants in clear liability scenarios—get invalidated. Courts verify if the offer aligns with potential verdicts.
What Costs You Can Get Back Under CCP 998 in Personal Injury Cases
Recover more than just the verdict thanks to CCP 998. Prevailing parties claim standard costs like filing fees, service costs, transcript fees, and witness payments under CCP Sections 1031 and 1032.
CCCP 998 enhances this. If defendants reject your offer and you surpass it, include:
- Post-offer expert witness costs: Recover fees for physicians, accident reconstructionists, or economists after the offer. Courts award reasonable, necessary amounts—up to limits in Government Code Section 68092.5.
- Prejudgment interest: 10% annually on damages from the offer date.
- Other post-offer costs: Court reporters, exhibits, subpoenas.
Defendants recover similarly if you reject and fail. Attorney fees? Obtain them only through separate statutes or contracts, not directly from CCP 998.
Limitations apply: Exclude pre-offer expert fees, mediation expenses (without authorization), or excessive items. Substantiate needs with invoices and declarations.
How to Figure If You Beat a CCP 998 Offer: Adding in Cost Moves and Winning Side Costs
Determine a “more favorable judgment” methodically. Compare the offer to the final verdict plus specific costs.
For plaintiffs: Add pre-offer costs to the verdict. Exclude post-offer costs. If the total exceeds the defendant’s offer, you prevail. Example: Defendant offers $50,000. Verdict: $45,000. Pre-offer costs: $7,000. Total: $52,000 > $50,000. You trigger penalties.
For defendants: If plaintiff offers $95,000 and verdict is $110,000, add plaintiff’s pre-offer costs (e.g., $8,000). Total: $118,000 > $95,000. Defendant pays additions.
Calculate prejudgment interest: Damage amount x 10% / 365 = daily rate. Multiply by days from offer to judgment.
Expert fees: Sum post-offer invoices for essential services. Submit via motion to amend judgment under CCP 473(b).

From actual court documents: In a negligence case, plaintiff offered $300,000 on December 1, 2022. Verdict: $300,000 on April 28, 2025. Pre-offer costs: $6,699.78. Total: $306,699.78 > $300,000. Interest: $300,000 x 10% / 365 ≈ $82.19 daily. Over 880 days: $72,328.77. Experts: $14,225 post-offer.
In oppositions: Add costs to verdict for comparisons. If offer includes costs, adjust accordingly.
Real Examples of CCP 998 Offers and Cost Moves in Use
Examples clarify CCP 998. Consider Lisa’s slip-and-fall claim against Tom’s business.

Plaintiff’s Offer: Lisa proposes $95,000. Tom rejects. Jury awards $110,000. Lisa adds post-offer experts ($12,000) and interest (10% over 18 months: ≈ $14,000). Tom pays $136,000+.
Defendant’s Offer: Tom counters with $50,000. Lisa rejects. Jury awards $30,000. Lisa pays Tom’s post-offer costs ($18,000) and experts ($12,000). Her net: Minimal or negative.
From court records: In one liability suit, plaintiff proposed $300,000. Defendants rejected. Verdict plus costs exceeded, adding $72,328 interest and $14,225 experts.
In another: Plaintiff proposed $12,500 inclusive of costs. Verdict $3,150. Adding $19,577 transcripts and more might surpass, enabling interest and fees.
These illustrate: Misjudge, and you pay.
The Real Try Need for Good CCP 998 Offers in California
Craft CCP 998 offers in good faith. Courts require offers within realistic verdict ranges. The opposing party needs sufficient information to evaluate. Serve after key discoveries.
Invalid offers? Unreasonably low too early, or unsupported. Judges review post-verdict.
Why Get Lawyer Help on CCP 998 Offers and Cost Moves in California Personal Injury
You now understand CCP 998 offers in California personal injury cases. This Statutory Offer to Compromise encourages settlements, shifts costs, and adds prejudgment interest. Determine success by adding pre-offer costs. Recover experts and more upon prevailing.

Each injury case varies. Consult an attorney to tailor offers. They maximize benefits while minimizing risks.
If an injury affects you, act promptly. Experienced California lawyers assist. You deserve fair compensation—use tools like CCP 998 strategically.
If you’ve suffered a serious injury or lost a loved one in a car accident, don’t go it alone. Visit https://representmyinjury.com/ or call 415-851-4557 for a free consultation with a top car accident attorney. Let’s discuss your recovery—fluent in English and Spanish, I’m here to fight for you every step of the way.
Complete our intake form: https://lawofficeofjohnjroach.cliogrow.com/intake/5d22773fd05d3aa4c6bc3d4ff3c7de0a
Disclaimer: This blog post is for informational purposes only and does not constitute legal advice. Consult a licensed attorney for advice specific to your situation.